Post-transplant cyclophosphamide, abatacept, and vedolizumab for the prevention of graft-versus-host disease after hematopoietic stem cell transplantation in children with acute leukemia: results of a prospective study
- Authors: Perminova M.E.1, Shelihova L.N.1, Klimentova M.A.1, Shasheleva D.A.1, Khismatullina R.D.1, Dunaykina M.A.1, Arakelyan S.K.1, Skvortsova Y.V.1, Balashov D.N.1, Maschan A.A.1, Maschan M.A.1
-
Affiliations:
- Dmitry Rogachev National Medical Research Center of Pediatric Hematology, Oncology and Immunology
- Issue: Vol 24, No 2 (2025)
- Pages: 38-45
- Section: ORIGINAL ARTICLES
- Submitted: 07.09.2025
- Accepted: 07.09.2025
- Published: 08.09.2025
- URL: https://hemoncim.com/jour/article/view/1013
- DOI: https://doi.org/10.24287/1726-1708-2025-24-2-38-45
- EDN: https://elibrary.ru/DBRSDO
- ID: 1013
Cite item
Full Text
Abstract
High-dose post-transplant cyclophosphamide (PTCy) is an established method for the prevention of graft-versus-host disease (GVHD) in allogeneic hematopoietic stem cell transplantation (HSCT) from haploidentical donors, however data on its efficacy in the pediatric population remain limited. In this prospective study, we evaluated an improved PTCy-based GVHD prophylaxis regimen comprising the a4b7 integrin blocker vedolizumab and a co-stimulatory signal inhibitor abatacept in addition to standard treatment with PTCy and cyclosporine A. The study was approved by the Independent Ethics Committee and the Scientific Council of the Dmitry Rogachev National Medical Research Center of Pediatric Hematology, Oncology and Immunology of Ministry of Healthcare of the Russian Federation. Allogeneic HSCT was performed in children with high-risk acute leukemia in complete remission from a haploidentical (n = 54) or unrelated (n = 4) donor. Myeloablative conditioning was based on treosulfan or total body irradiation. In 97% of cases, bone marrow was used as a graft source. The engraftment rate was 98%. The cumulative risk of acute GVHD grade II-IV and III-IV was 38% and 8.6%, respectively, of acute intestinal GVHD grade II-IV - 10%, and of chronic GVHD - 7%. Transplant-related mortality after 2 years of follow-up was 3.6%, the incidence of relapse was 16%, the overall survival rate - 91%, and the event-free survival rate - 85%. Overall, the proposed GVHD prophylaxis regimen demonstrated a favorable safety profile and good tolerability, no specific adverse events were observed.
Full Text
ВВЕДЕНИЕ
Безопасная и эффективная профилактика реакции «трансплантат против хозяина» (РТПХ) является краеугольным камнем успешной аллогенной трансплантации гемопоэтических стволовых клеток (ТГСК). ТГСК от гаплоидентичных родственных доноров стремительно заняла место стандартного подхода в детской трансплантологии благодаря успешному применению режимов профилактики РТПХ на основе ex vivo деплеции Т-клеток либо фармакологической элиминации аллореактивных Т-лимфоцитов с помощью высокодозного посттрансплантационного циклофосфамида (ПТЦф) [1].
Классическая схема профилактики РТПХ на основе ПТЦф включает такролимус и микофенолатамофетил в качестве ключевых компонентов [2, 3]. Несмотря на широкую клиническую практику, опубликованные данные о применении ПТЦф у детей остаются ограниченными [4, 5]. Хотя отдельные исследования свидетельствуют о том, что оригинальная схема обеспечивает высокий уровень защиты от тяжелых форм РТПХ, данные проспективных исследований, а также собственный опыт показывают, что существует необходимость для дальнейшего совершенствования этого метода [6].
В последние годы в арсенал средств профилактики РТПХ были включены 2 препарата - абатацепт и ведолизумаб [7, 8]. Оба они воздействуют на ключевые молекулярные механизмы развития РТПХ: абатацепт ингибирует ко-стимуляцию Т-клеток, а ведолизумаб препятствует их миграции в ключевые органы-мишени острой РТПХ - кишечник и печень. При этом ни один из этих препаратов не вызывает выраженной лимфодеплеции и системной иммуносупрессии, а также они обладают минимальной органной токсичностью. В настоящее время абатацепт одобрен FDA для профилактики РТПХ при ТГСК от неродственных частично совместимых доноров, а ведолизумаб продемонстрировал эффективность в профилактике гастроинтестинальной РТПХ в сочетании со стандартной схемой на основе ингибиторов кальциневрина и антиметаболитов при ТГСК от родственных и неродственных совместимых доноров [7-9].
Оба препарата продолжают активно изучаться в составе различных схем профилактики РТПХ, однако опыт их применения в составе профилактики РТПХ на основе ПТЦф крайне ограничен, а в детской популяции публикации по данной теме отсутствуют. Основываясь на предыдущем опыте, мы инициировали проспективное исследование в целях оценки безопасности и предварительной эффективности добавления ведолизумаба и абатацепта к стандартной схеме профилактики на основе ПТЦф и циклоспорина A у детей с острым лейкозом высокого риска. В данной работе представлены результаты анализа по основным конечным точкам исследования.
МАТЕРИАЛЫ И МЕТОДЫ ИССЛЕДОВАНИЯ
В период с марта 2022 г. по апрель 2023 г. ТГСК от гаплоидентичных и совместимых неродственных доноров с применением ПТЦф, циклоспорина, абата- цепта и ведолизумаба была проведена у 58 детей с острым лейкозом в стадии ремиссии. Протокол исследования был зарегистрирован в ClinicalTrials. gov (NCT06475820). Исследование одобрено независимым этическим комитетом и утверждено решением ученого совета НМИЦ ДГОИ им. Дмитрия Рогачева. Все пациенты и/или их законные представители дали информированное согласие на участие в исследовании. Медиана наблюдения для выживших пациентов составила 609 дней, дата последней оценки - август 2024 г.
В исследуемую группу вошли 28 девочек и 30 мальчиков, медиана возраста на момент ТГСК составила 7 лет (диапазон 0,4-16 лет). Для всех пациентов это была первая трансплантация.
Показанием к проведению ТГСК являлся острый лимфобластный лейкоз (ОЛЛ) у 38 пациентов и острый миелоидный лейкоз (ОМЛ) в 20 случаях. На момент трансплантации в первой полной ремиссии (ПР1) находились 27 пациентов, во второй ремиссии (ПР2) - 30, в третьей ремиссии (ПР3) - 1 пациент. Четыре пациента имели положительную минимальную остаточную болезнь (МОБ) по данным проточной цитометрии (диапазон 0,012-0,87%, медиана 0,42%), среди них 3 с ОМЛ и 1 с ОЛЛ. У 3 пациентов была выявлена положительная молекулярная МОБ (0,002-0,047%).
Пятьдесят четыре пациента получили трансплантат от гаплоидентичного донора, а 4 - от совместимого неродственного донора. Всем пациентам проводилась миелоаблативная кондиционирующая терапия: на основе тотального облучения тела (ТОТ) в общей дозе 12 Гр (n = 31) или на основе треосульфана в дозе 42 г/м2 (n = 27). В качестве второго препарата применяли либо циклофосфамид в курсовой дозе 50 мг/кг (n = 50), либо этопозид в дозе 60 мг/кг (n = 8).
Профилактика РТПХ включала циклоспорин A с -1-го до 180-го дня, ПТЦф в дозе 50 мг/кг на +3-й и +4-й дни, абатацепт в дозе 10 мг/кг на +5, +14, +28, +45 и +60-й дни, а также ведолизумаб в дозе 10 мг/кг (максимально 300 мг) на -1, +14 и +28-й дни.
В 56 случаях в качестве трансплантата использовался неманипулированный костный мозг, в 2 случаях - гемопоэтические стволовые клетки периферической крови. Медианная доза CD34+-клеток составила 4,8 * 106/кг (диапазон 1,2-17 * 106/кг), доза CD3+-клеток - 42 * 106/кг. Еженедельно проводился мониторинг цитомегаловируса (ЦМВ), аденовируса, вирусов герпеса 6-го типа и Эпштейна-Барр методом полимеразной цепной реакции в периферической крови. Лечение ЦМВ и аденовируса начинали при достижении вирусной нагрузки >500 копий/мл.
Приживление нейтрофилов фиксировалось при достижении абсолютного числа нейтрофилов >0,5 * 109/л, а восстановление тромбоцитов определялось как уровень тромбоцитов >20 * 109/л при отсутствии необходимости в трансфузиях тромбоцитов в течение 3 последовательных дней. Оценка статуса ремиссии, МОБ и химеризма проводилась на +30-й день после ТГСК.
Острая и хроническая РТПХ диагностировались и стадировались в соответствии со стандартными рекомендациями [10, 11].
Первичными конечными точками исследования были кумулятивный риск развития (КР) острой РТПХ 11—IV стадии и 100-дневная трансплантационная смертность. Вторичные конечные точки включали частоту и сроки приживления трансплантата, КР рецидива, выживаемость без рецидива и РТПХ, трансплантационную смертность, частоту и выраженность хронической РТПХ, характеристику иммунореконституции, бессобытийную (БСВ) и общую (ОВ) выживаемость. При анализе БСВ в качестве событий учитывались смерть от любой причины и рецидив заболевания. Смертность, не связанная с рецидивом, и рецидив рассматривались как взаимоисключающие конкурирующие риски и анализировались с использованием модели конкурирующих рисков. Расчет БСВ и ОВ проводился методом Каплана- Майера. Статистический анализ выполнялся с использованием пакета XLSTAT (Addinsoft, Париж, Франция).
РЕЗУЛЬТАТЫ ИССЛЕДОВАНИЯ
Приживление трансплантата
Приживление трансплантата зафиксировано у 57 (98%) пациентов. Медианный срок приживления составил 20 дней для нейтрофилов и 23 дня для тромбоцитов. Первичное неприживление трансплантата было зарегистрировано у 1 пациента с Т-линейным ОЛЛ, у которого впоследствии произошел рецидив на +120-е сутки после ТГСК. Данному пациенту была проведена повторная трансплантация.
Острая реакция «трансплантат против хозяина»
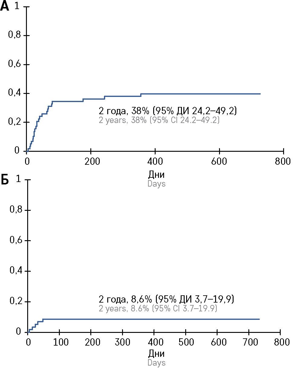
Острая РТПХ II—IV стадии развилась у 23 пациентов. КР острой РТПХ II—IV стадии составил 38% (95% доверительный интервал (ДИ) 24,2—49,2). Острая РТПХ III стадии диагностирована у 3 пациентов, IV стадии — у 2. КР РТПХ III—IV стадии составила 8,6% (95% ДИ 3,7—19,9) (рисунок 1). КР острой РТПХ IV стадии составила 3,4%.
Рисунок 1. КР развития острой РТПХ II—IV (А) и III—IV (Б) стадии
Figure 1. The cumulative risk of acute GVHD grade II—IV (А) and III—IV (Б)
Кишечная форма острой РТПХ развилась у 6 пациентов: у 2 наблюдалась РТПХ II стадии, у 3 — III стадии, у 1 — IV стадии. Риск развития кишечного поражения при острой РТПХ составил 10%. Гистологическое подтверждение диагноза было получено в 4 случаях. Медиана возникновения гастроинтестинальной формы острой РТПХ составила 48 дней после ТГСК (диапазон 36—212 дней). У 5 пациентов одновременно выявлялись вирусные гастроинтестинальные инфекции, подтвержденные методом полимеразной цепной реакции: в 4 случаях — норовирус, в 1 — аденовирус. Все 6 пациентов получали терапию глюкокортикостероидами, в 5 случаях схема иммуно- супрессивной терапии была изменена: циклоспорин A был заменен на руксолитиниб.
На момент анализа данных у 16 (69%) пациентов РТПХ полностью разрешилась, иммуносупрессивная терапия была полностью завершена. Три пациента скончались по различным причинам, 4 продолжают лечение. Восемнадцать (78%) пациентов с острой РТПХ получали 2 линии терапии и более. Медиана числа линий иммуносупрессивной терапии составила 3.
КР хронической РТПХ составил 7% (95% ДИ 2,7—17,9) (рисунок 2). Хроническая РТПХ развилась у 4 пациентов, у всех отмечалось поражение кожи, а в 1 случае дополнительно наблюдалось поражение легких. Два пациента с изолированным кожным поражением ответили на терапию низкими дозами глюкокортикостероидов и в настоящее время получают местную терапию стероидами. Еще 1 пациент с кожным поражением и пациент с поражением легких продемонстрировали полный ответ на системную иммуносупрессивную терапию и на момент завершения сбора данных продолжают получать руксолитиниб.
Рисунок 2. КР развития хронической РТПХ
Figure 2. The cumulative risk of chronic GVHD
Токсичность
Схема лечения в целом переносилась хорошо. Острая токсичность включала мукозит III-IV стадии (п = 10), геморрагический цистит II-III стадии (п = 4) и тяжелую степень веноокклюзионной болезни печени (ВОБ) (п = 2) (оба случая ВОБ развились после применения инотузумаба озогамицина перед ТГСК). Инфекции кровотока были зарегистрированы у 7 пациентов - все они были бактериальными (Escherichia coli, п = 2; Klebsiella pneumoniae, п = 2; Stenotrophomonas maltophilia, n = 1; Streptococcus oralis, n = 1; Pseudomonas aeruginosa, n = 1). Четыре пациента были переведены в отделение интенсивной терапии в связи с септическими осложнениями или ВОБ.
Вирусные инфекции
Реактивация ЦМВ произошла у 21 (36%) пациента, медиана реактивации составила 46 дней после ТГСК. Максимальная вирусная нагрузка ЦМВ в крови достигала 20 000 копий/мл, у 1 пациента развилось органное поражение в виде пневмонии. Реактивация (виремия) аденовируса была зафиксирована у 2 пациентов, у 1 отмечалось развитие аденовирусного колита.
Переносимость циклоспорина А
Нейротоксичность, связанная с циклоспорином А, наблюдалась у 10 пациентов. Судороги развились у 6 пациентов, сильная головная боль - у 4, у 2 из них также отмечались сходящееся косоглазие и нарушение зрения. Развитие PRES не было зарегистрировано ни у одного пациента. Острая почечная недостаточность наблюдалась в 4 случаях. Диапазон времени развития этих осложнений составил от -1-го до +30-го дня после ТГСК. У 17 пациентов циклоспорин A был заменен на руксолитиниб в связи с токсичностью, у 5 в рамках терапии острой РТПХ.
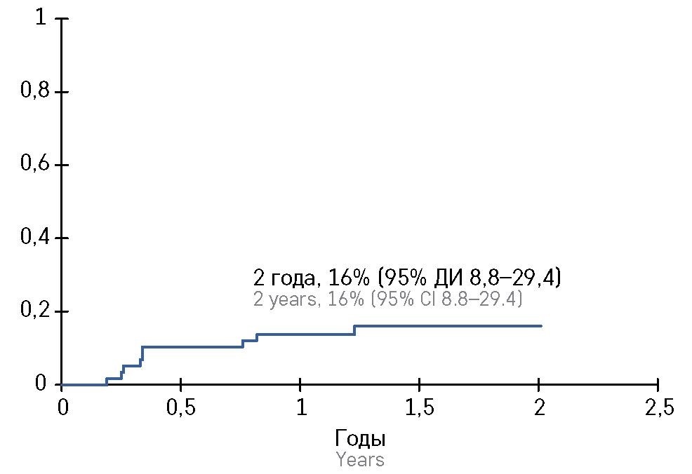
Рецидивы
Рецидив заболевания произошел у 9 пациентов: 5 с ОЛЛ и 4 с ОМЛ, медианный срок составил 4 мес (диапазон 2-14 мес). Кумулятивная 2-летняя частота рецидива или прогрессии составила 16% (рисунок 3).
Трансплантат-ассоциированная смертность
Трансплантат-ассоциированная смертность составила 1,7% (95% ДИ 0,9-13,5) на 100-й день и 3,4% (95% ДИ 0,9-13,5) через 2 года (рисунок 4).
Два пациента скончались: один из-за развития ВОБ и сепсиса, вызванного инфекцией Stenotrophomonas maltophilia, на +60-й день после ТГСК, другой из-за развития сепсиса, вызванного Klebsiella pneumoniae и Candida glabrata, во время получения второй линии терапии по поводу острой РТПХ на +268-й день после ТГСК.
Рисунок 3. КР рецидива или прогрессии
Figure 3. The cumulative risk of relapse or progression
Рисунок 4. Трансплантат-ассоциированная смертность
Figure 4. Transplant-related mortality
Выживаемость
Двухлетняя ОВ составила 91% (95% ДИ 83,598,6), БСВ - 84,5% (95% ДИ 75,2-93,8) (рисунок 5). Выживаемость без РТПХ и рецидива составила 63,1% (95% ДИ 46,7-79,4) (рисунок 6).
Рисунок 5. ОВ (А) и БСВ (B)
Figure 5. Overall (А) and event-free survival (B)
Рисунок 6. Выживаемость без РТПХ и рецидива
Figure 6. Survival without GVHD or relapse
ОБСУЖДЕНИЕ РЕЗУЛЬТАТОВ ИССЛЕДОВАНИЯ
Эффективная и безопасная профилактика РТПХ является ключевым фактором успешной аллогенной ТГСК. Современная ex vivo T-клеточная деплеция является наиболее эффективным методом предотвращения РТПХ, однако ее широкое применение ограничено из-за зависимости от сложных технологий и высокой стоимости [12, 13], в отличие от этого ПТЦф представляет собой относительно простой и широко применяемый метод, который приобрел значительную популярность благодаря своей надежности, легкости в использовании и низким непосредственным затратам. Взрослые пациенты были включены в многочисленные исследования, демонстрирующие эффективность различных схем профилактики РТПХ на основе ПТЦф [14-17]. В педиатрической популяции данные ограничены и в основном представлены ретроспективными исследованиями и анализами регистров [5, 6, 18]. Проспективные исследования носят либо одноцентровый характер, либо включают небольшое число пациентов [19]. Согласно имеющимся данным, зарегистрированная частота клинически значимой РТПХ после профилактики на основе ПТЦф варьирует от минимального уровня до более характерных показателей для ТГСК без Т-клеточной деплеции. Наш собственный опыт показал, что ex vivo T-клеточная деплеция ассоциируется со значительно более низким риском как острой, так и хронической РТПХ, особенно ее тяжелых форм, по сравнению с пациентами, получавшими профилактику на основе ПТЦф [20-22]. При переходе от ex vivo T-клеточной деплеции к платформе на основе ПТЦф мы стремились разработать вариант схемы профилактики РТПХ, который позволил бы повысить ее эффективность, при этом минимизируя глобальную иммуносупрессию, инфекционные осложнения и органную токсичность.
Выбор дополнительных фармакологических агентов был основан на опубликованных данных, а также на собственном опыте применения абатацепта и ранних данных о применении ведолизумаба. Ключевыми аргументами в пользу их использования стали низкая органная токсичность, возможность парентерального введения, а также убедительные доклинические и ранние клинические данные, подтверждающие их эффективность в профилактике и лечении РТПХ.
Настоящее исследование демонстрирует, что добавление ведолизумаба и абатацепта к стандартной схеме профилактики РТПХ на основе ПТЦф и циклоспорина A не ассоциировано с неожиданными нежелательными явлениями и, напротив, характеризуется хорошей переносимостью. Частота клинически значимой и тяжелой острой РТПХ находилась в пределах, ранее зарегистрированных для ПТЦф в условиях гаплоидентичной ТГСК.
Важно отметить, что острая РТПХ в целом хорошо поддавалась терапии и не приводила к избыточной трансплантат-ассоциированной смертности. Фактически трансплантат-ассоциированная смертность была низкой и сопоставимой с наилучшими результатами, достигнутыми в наших исследованиях при ex vivo деплеции. Хроническая РТПХ была эффективно предотвращена, тяжелые формы встречались редко, и только 2 пациента продолжали получать иммуносу- прессивную терапию на момент завершения анализа данных. Эти результаты согласуются с имеющимися данными как детских, так и взрослых исследований, подтверждающих высокую эффективность ПТЦф в профилактике хронической РТПХ [3, 4, 6, 19, 23, 24].
Абатацепт был одобрен FDA в 2022 г. в качестве дополнительного компонента к схемам на основе ингибиторов кальциневрина при ТГСК от частично совместимых неродственных доноров (<8/8). В недавнем пилотном проспективном исследовании Al-Homsi и соавт. была показана высокая эффективность комбинации абатацепта и ПТЦф с сокращенным курсом такролимуса при гаплоидентичной ТГСК у взрослых [3]. Протокол и дозирование абатацепта в данном исследовании были аналогичны используемым в нашем исследовании. Частота РТПХ (17% для острой РТПХ II—IV стадии) и общие результаты, представленные в этом исследовании, оказались весьма перспективными. Одним из возможных факторов, влияющих на частоту острой РТПХ и обусловивших существенное расхождение с результатами нашего исследования, могло быть значительное число пациентов, получивших режимы кондиционирования сниженной интенсивности.
Ведолизумаб ранее применялся в качестве одной из последних линий терапии гастроинтестинальной РТПХ в небольших сериях клинических случаев, а также оценивался в пилотном исследовании в качестве профилактического препарата [7, 25]. Однако данных о его применении в качестве профилактики при гаплоидентичной ТГСК у детей ранее не публиковалось. В недавнем рандомизированном исследовании III фазы было показано, что добавление ведолизумаба к стандартной профилактике (циклоспорин А + антиметаболиты) при ТГСК от неродственных доноров у взрослых значимо снижает частоту гастроинтестинальной РТПХ. Помимо различий в возрасте пациентов и типе донора, дополнительным фактором могло быть более длительное использование ведолизумаба в этом исследовании - вплоть до +180-го дня, что, возможно, способствовало лучшему контролю кишечной РТПХ по сравнению с нашими данными. Интересно, что в нашей когорте у большинства пациентов с РТПХ с поражением желудочно-кишечного тракта одновременно выявлялся вирусный патоген, что могло способствовать развитию патологии и затруднять дифференциальную диагностику между РТПХ и инфекционным гастроэнтеритом. Примечательно, что в исходной популяции пациентов с воспалительными заболеваниями кишечника, получавших терапию ведолизумабом, отмечалось повышенное количество случаев кишечных инфекций [26].
Настоящее исследование не было спроектировано для оценки эффективности абатацепта и ведолизумаба в профилактике РТПХ, поэтому окончательные выводы по этому вопросу сделать нельзя. Следует отметить, что данных, свидетельствующих об исключительной эффективности данной схемы, получено не было. Тем не менее через 2 года наблюдения частота рецидивов оказалась несколько ниже, чем в аналогичных когортах, что, возможно, связано с применением интенсивных режимов кондиционирования и тем, что на момент ТГСК пациенты находились в состоянии полной ремиссии, а большинство в МОБ-негативной ремиссии.
ЗАКЛЮЧЕНИЕ
Применение абатацепта и ведолизумаба на фоне стандартной схемы профилактики РТПХ с ПТЦф и циклоспорином A оказалось осуществимым и не сопровождалось неожиданной токсичностью. Показатели трансплантат-ассоциированной смертности, частота рецидивов, заболеваемость хронической РТПХ и выживаемость продемонстрировали обнадеживающие результаты, в то время как частота острой РТПХ находилась в пределах ожидаемой для ТГСК без деплеции Т-клеток.
Дальнейшее совершенствование профилактики РТПХ возможно за счет оптимизации схемы введения препаратов, а также потенциально включения ингибиторов JAK-киназ в профилактические режимы.
ИСТОЧНИК ФИНАНСИРОВАНИЯ
Не указан.
КОНФЛИКТ ИНТЕРЕСОВ
Авторы статьи подтвердили отсутствие конфликта интересов, о котором необходимо сообщить.
About the authors
Margarita E. Perminova
Dmitry Rogachev National Medical Research Center of Pediatric Hematology, Oncology and Immunology
Author for correspondence.
Email: margarita.perminova@dgoi.ru
Russian Federation, Moscow
Larisa N. Shelihova
Dmitry Rogachev National Medical Research Center of Pediatric Hematology, Oncology and Immunology
Email: lshelihova@gmail.com
ORCID iD: 0000-0003-0520-5630
Russian Federation, Moscow
Maria A. Klimentova
Dmitry Rogachev National Medical Research Center of Pediatric Hematology, Oncology and Immunology
Email: klimentowa1702@mail.ru
ORCID iD: 0000-0003-1216-817X
Russian Federation, Moscow
Daria A. Shasheleva
Dmitry Rogachev National Medical Research Center of Pediatric Hematology, Oncology and Immunology
Email: shasheleva@mail.ru
ORCID iD: 0000-0002-5641-8567
Russian Federation, Moscow
Rimma D. Khismatullina
Dmitry Rogachev National Medical Research Center of Pediatric Hematology, Oncology and Immunology
Email: Rimma.Chismatullina@fccho-moscow.ru
ORCID iD: 0000-0001-5618-7159
Russian Federation, Moscow
Maria A. Dunaykina
Dmitry Rogachev National Medical Research Center of Pediatric Hematology, Oncology and Immunology
Email: maria.dunaykina@dgoi.ru
ORCID iD: 0000-0002-1384-1752
Russian Federation, Moscow
Susanna K. Arakelyan
Dmitry Rogachev National Medical Research Center of Pediatric Hematology, Oncology and Immunology
Email: no-reply@eco-vector.ru
ORCID iD: 0009-0005-7866-7256
Russian Federation, Moscow
Yulia V. Skvortsova
Dmitry Rogachev National Medical Research Center of Pediatric Hematology, Oncology and Immunology
Email: yuscvo@mail.ru
ORCID iD: 0000-0002-0566-053X
MD, Dr. Sci. (Medicine)
Russian Federation, MoscowDmitry N. Balashov
Dmitry Rogachev National Medical Research Center of Pediatric Hematology, Oncology and Immunology
Email: bala8@yandex.ru
ORCID iD: 0000-0003-2689-0569
MD, Dr. Sci. (Medicine)
Russian Federation, MoscowAlexey A. Maschan
Dmitry Rogachev National Medical Research Center of Pediatric Hematology, Oncology and Immunology
Email: Aleksey.Maschan@dgoi.ru
ORCID iD: 0000-0002-0016-6698
MD, Dr. Sci. (Medicine), Professor
Russian Federation, MoscowMichael A. Maschan
Dmitry Rogachev National Medical Research Center of Pediatric Hematology, Oncology and Immunology
Email: Michael.Maschan@dgoi.ru
ORCID iD: 0000-0003-1735-0093
MD, Dr. Sci. (Medicine), Professor
Russian Federation, MoscowReferences
- Anasetti C., Logan B.R., Lee S.J., Waller E.K., Weisdorf D.J., Wingard J.R., et al. Peripheral-blood stem cells versus bone marrow from unrelated donors. N Engl J Med 2012; 367 (16): 1487-96.
- Jacobsohn D.A., Vogelsang G.B. Acute graft versus host disease. Orphanet J Rare Dis 2007; 2 (1): 35.
- Al-Homsi A.S., Cirrone F., Wo S., Cole K., Suarez-Londono J.A., Gardner S.L., et al. PTCy, abatacept, and a short course of tacrolimus for GVHD prevention after haploidentical transplantation. Blood Adv 2023; 7 (14): 3604-11.
- Fierro-Pineda J.C., Tsai H.L., Blackford A., Cluster A., Caywood E., Dalal J., et al. Prospective PTCTC trial of myeloablative haplo-BMT with posttransplant cyclophosphamide for pediatric acute leukemias. Blood Adv 2023; 7 (18): 5639-48.
- Nagler A., Labopin M., Swoboda R., Schroeder T., Hamladji R.M., Griskevicius L., et al. Post-transplant cyclophosphamide, calcineurin inhibitor, and mycophenolate mofetil compared to anti-thymocyte globulin, calcineurin inhibitor, and methotrexate combinations as graft-versus-host disease prophylaxis post allogeneic stem cell transplantation from sibling and unrelated donors in patients with acute myeloid leukemia: a study on behalf of the acute leukemia working party of the european society for blood and marrow transplantation. Bone Marrow Transplant 2024; 59 (7): 1012-21.
- Symons H.J., Zahurak M., Cao Y., Chen A., Cooke K., Gamper C., et al. Myeloablative haploidentical BMT with posttransplant cyclophosphamide for hematologic malignancies in children and adults. Blood Adv 2020; 4 (16): 3913-25.
- Bin C.Y., Mohty M., Zeiser R., Teshima T., Jamy O., Maertens J., et al. Vedolizumab for the prevention of intestinal acute GVHD after allogeneic hematopoietic stem cell transplantation: a randomized phase 3 trial. Nat Med 2024; 30 (8): 2277-87.
- Kean L.S., Burns L.J., Kou T.D., Kapikian R., Lozenski K., Langston A., et al. Abatacept for acute graft-versus-host disease prophylaxis after unrelated donor hematopoietic cell transplantation. Blood 2024; 144 (17): 1834-45.
- Watkins B., Qayed M., McCracken C., Bratrude B., Betz K., Suessmuth Y., et al. Phase II trial of costimulation blockade with abatacept for prevention of acute GVHD. J Clin Oncol 2021; 39 (17): 1865-77.
- Wilhelm K., Ganesan J., Muller T., Durr C., Grimm M., Beilhack A., et al. Graft-versus-host disease is enhanced by extracellular ATP activating P2X7R. Nat Med 2010; 16 (12): 1434-9.
- Betcher J., Chang Y.H., Noel P., Leis J., Sproat L.O., Fauble V., et al. Factors affecting the incidence of severe (stage 2-4) gastrointestinal (GI) graft-versus-host disease (GVHD) in adult patients (pts) undergoing allogeneic hematopoietic transplant (allo-HCT) for hematologic malignancy. Biol Blood Marrow Transplant 2014; 20 (2): S262.
- Shelikhova L., Glushkova S., Nikolaev R., Dunaikina M., Zhekhovtsova Z., Blagov S., et al. Serotherapy-free regimen improves non-relapse mortality and immune recovery among the recipients of ар Tcell-depleted haploidentical grafts: retrospective study in childhood leukemia. Transplant Cell Ther 2021; 27 (4): 330. e1-9.
- Maschan M., Shelikhova L., Ilushina M., Kurnikova E., Boyakova E., Balashov D., et al. TCR-alpha/beta and CD19 depletion and treosulfan-based conditioning regimen in unrelated and haploidentical transplantation in children with acute myeloid leukemia. Bone Marrow Transplant 2016; 51 (5): 668-74.
- McCurdy S.R., Luznik L. How we perform haploidentical stem cell transplantation with posttransplant cyclophosphamide. Blood 2019; 134 (21): 1802-10.
- Ciurea S.O., Zhang M.J., Bacigalupo A.A., Bashey A., Appelbaum F.R., Aljitawi O.S., et al. Haploidentical transplant with posttransplant cyclophosphamide vs matched unrelated donor transplant for acute myeloid leukemia. Blood 2015; 126 (8): 1033-40.
- McCurdy S.R., Kanakry J.A., Showel M.M., Tsai H.L., BolanosMeade J., Rosner G.L., et al. Risk-stratified outcomes of nonmy- eloablative HLA-haploidentical BMT with high-dose posttransplantation cyclophosphamide. Blood 2015; 125 (19): 3024-31.
- Ruggeri A., Labopin M., Bacigalupo A., Afanasyev B., Cornelissen J.J., Elmaagacli A., et al. Post-transplant cyclophosphamide for graft-versus-host disease prophylaxis in HLA matched sibling or matched unrelated donor transplant for patients with acute leukemia, on behalf of ALWP-EBMT. J Hematol Oncol 2018; 11 (1).
- Berger M., Lanino E., Cesaro S., Zecca M., Vassallo E., Faraci M., et al. Feasibility and outcome of haploidentical hematopoietic stem cell transplantation with post-transplant high-dose cyclophosphamide for children and adolescents with hematologic malignancies: an AIEOP-GITMO retrospective multicenter study. Biol Blood Marrow Transplant 2016; 22(5): 902-9.
- Ruggeri A., Galimard J.E., Paina O., Fagioli F., Tbakhi A., Yesilipek A., et al. Outcomes of unmanipulated haploidentical transplantation using post-transplant cyclophosphamide (PT-Cy) in pediatric patients with acute lymphoblastic leukemia. Transplant Cell Ther 2021; 27 (5): 424.e1-9.
- Abrosimov A.B., Blinov D.S., Blinova E.V., Maschan M.A. Results of a comparative phrmacoeconomics analysis of strategies for the prevention of graft-versus-host disease in children with hematological malignences: a single center experience. Acta Medica Eurasica 2023; (1): 1-10.
- Дунайкина М.А., Шелихова Л.Н., Шеховцова Ж.Б., Глушкова С.Ю., Николаев Р.В., Благов С.Л. и др. Безопасность и эффективность инфузий донорских лимфоцитов памяти после трансплантации гемопоэтических стволовых клеток на платформе деплеции ap-T-лимфоцитов у детей с острыми лейкозами. Вопросы гематологии/онкологии и иммунопатологии в педиатрии 2021; 20 (2): 12-28.
- Боровкова А.С., Паина О.В., Кожокарь П.В., Рахманова З.З., Осипова А.А., Цветкова Л.А. и др. Анализ эффективности профилактики реакции «трансплантат против хозяина» на основе посттрансплантационного циклофосфамида у детей с острым миелоидным лейкозом после аллогенной трансплантации гемопоэтических стволовых клеток от полностью и частично HLA-совместимых неродственных доноров. Вопросы гематологии/онкологии и иммунопатологии в педиатрии 2023; 22 (2): 32-43.
- Tanaka T., Nakamae H., Ito A., Fuji S., Hirose A., Eto T., et al. A phase I/II multicenter trial of HLA-haploidentical PBSCT with PTCy for aggressive adult T cell leukemia/lymphoma. Transplant Cell Ther 2021; 27 (11): 928.e1-7.
- Luznik L., O'Donnell P.V., Symons H.J., Chen A.R., Leffell M.S., Zahurak M., et al. HLA-haploidentical bone marrow transplantation for hematologic malignancies using nonmyeloablative conditioning and high-dose, posttransplantation cyclophosphamide. Biol Blood Marrow Transplant 2008; 14 (6): 641-50.
- Isshiki K., Kamiya T., Endo A., Okamoto K., Osumi T., Kawai T., et al. Vedolizumab therapy for pediatric steroid-refractory gastrointestinal acute graft-versus-host disease. Int J Hematol 2022; 115 (4): 590-4.
- Innocenti T., Roselli J., Lynch E.N., Apolito P., Parisio L., Bagnoli S., et al. Infectious risk of vedolizumab compared with other biological agents in the treatment of inflammatory bowel disease. Eur J Gastroenterol Hepatol 2021; 33 (1S Suppl 1): E574-9.
Supplementary files









