Cytofluorometry analysis of red blood cell suspension properties: results of a pilot study
- Authors: Chabin I.A.1, Podoplelova N.A.1,2, Artemenko E.O.1,2, Starostin N.N.1, Trakhtman P.E.1,3, Smetanina N.S.1, Panteleev M.A.1,2,4
-
Affiliations:
- Dmitry Rogachev National Medical Research Center of Pediatric Hematology, Oncology and Immunology
- Center for Theoretical Problems of Physical and Chemical Pharmacology, Russian Academy of Sciences
- Russian Medical Academy of Continuous Professional Education
- Lomonosov Moscow State University, Moscow
- Issue: Vol 24, No 2 (2025)
- Pages: 80-85
- Section: ORIGINAL ARTICLES
- Submitted: 07.09.2025
- Accepted: 07.09.2025
- Published: 08.09.2025
- URL: https://hemoncim.com/jour/article/view/1017
- DOI: https://doi.org/10.24287/1726-1708-2025-24-2-80-85
- EDN: https://elibrary.ru/LCDFRG
- ID: 1017
Cite item
Full Text
Abstract
A wide use of blood products inevitably leads to an increase in the number of complications associated with it. These complications include thromboembolic events that are considered to be rare and difficult-to-manage. Currently, the mechanisms and possible laboratory predictors of such complications are unclear. This paper presents our experience of using flow cytometry to assess the parameters of phosphatidylserine expression (detected by Annexin V binding) and describes impairments in the deformability of red blood cells (detected using forward and side scatter data) which determine the procoagulant properties of cells. According to our findings, the use of Annexin V for the assessment of gradual cell death in the samples of red blood cell (RBC) suspension is controversial. At the same time, our results show a higher sensitivity of the assessment of the accumulation of RBCs with an altered shape for the detection of programmed cell death - eryptosis. The obtained results can be used to improve the detection of dead RBCs during the routine storage of RBC suspension. The study was approved by the Independent Ethics Committee and the Scientific Council of the Dmitry Rogachev National Medical Research Center of Pediatric Hematology, Oncology and Immunology of Ministry of Healthcare of the Russian Federation.
Full Text
Эритроцитная взвесь - один из самых распространенных и повсеместно применяемых компонентов крови. Так, в США ежегодно проводится более 10 млн трансфузий эритроцитсодержащих препаратов крови, и это число продолжает ежегодно увеличиваться [1, 2]. Спектр причин состояний, требующих их применения, крайне обширен, а вопрос определения показаний продолжает интенсивно обсуждаться [3-5]. В 2008 г. в крупном многоцентровом исследовании было продемонстрировано, что длительность хранения эритроцитсодержащих препаратов крови коррелирует с частотой осложнений при их применении [6]. В недавнем исследовании, проведенном в педиатрической популяции, была показана взаимосвязь длительности хранения препаратов эритроцитов с таким редким и тяжелым осложнением, как венозные тромбоэмболические события после выполнения оперативного вмешательства. Частота таких осложнений ежегодно растет, в том числе и за счет увеличения количества проводимых операций [7].
Точные механизмы, посредством которых переливание эритроцитсодержащих препаратов приводит к возникновению тромбоэмболии, остаются неясными. Основными причинами принято считать накопление микровезикул [8], изменение формы клеток [9], а также увеличение экспрессии фосфатидил- серина на внешней мембране эритроцитов [10, 11]. Известны сообщения о кратном детектируемом росте экспрессии фосфатидилсерина при хранении эритроцитной взвеси, который наиболее заметен при использовании в качестве маркера экспрессии фосфатидилсерина лактадхерина в сравнении с аннексином V [12]. В то же время в ряде работ по изучению экспрессии фосфатидилсерина, например для эритроцитарных (CD235+) микровезикул в хранимых продуктах крови, сообщается об отсутствии значимых различий для данных маркеров [8].
Что касается вопросов изменения формы клеток, то в недавних работах была продемонстрирована возможность детекции особой субпопуляции клеток методом проточной цитофлуориметрии с окраской CFDA-SE (carboxyfluorescein diacetate succinimidyl ester). Эта популяция характеризуется изменением ряда параметров: увеличением экспрессии фосфатидилсерина, необратимой деградацией внутриклеточных белков, исчерпанием внутриклеточных энергетических субстратов, а также изменением формы клеток (по данным сканирующей электронной микроскопии) [9].
Собственный опыт ФГБУ «НМИЦ ДГОИ им. Дмитрия Рогачева» Минздрава России в оценке параметров эритроцитсодержащих препаратов крови представлен в ряде публикаций [10, 13]. В этих работах уровень экспрессии фосфатидилсерина на мембранах клеток оценивался с использованием одного маркера - аннексина V. Отмечался статистически значимый прирост количества фосфатидил- серин-положительных клеток только при сравнении точек начала и окончания хранения препаратов. В остальном различия оставались незначимыми, и, что более интересно, статистически значимой разницы при сравнении хранившихся образцов эритроцитной взвеси с образцом цельной крови (в день заготовки препаратов крови) выявлено не было [10].
В данной работе представлены результаты пилотного исследования хранения лейкофильтрованной облученной эритроцитной взвеси, включающего оценку экспрессии фосфатидилсерина с использованием 2 маркеров - лактадхерина и аннексина V, а также анализ изменений морфологии клеток по параметрам прямого и бокового светорассеяния с использованием проточной цитофлуориметрии.
МАТЕРИАЛЫ И МЕТОДЫ ИССЛЕДОВАНИЯ
Данное исследование одобрено независимым этическим комитетом и утверждено решением ученого совета НМИЦ ДГОИ им. Дмитрия Рогачева.
Приготовление эритроцитной взвеси и общая схема эксперимента
Цельную кровь здоровых доноров, подписавших добровольное информированное согласие на участие в исследовании, заготавливали в соответствии со стандартным протоколом, принятым в НМИЦ ДГОИ им. Дмитрия Рогачева. В качестве антикоагулянта использовался CPD (цитрат натрия, лимонная кислота, дигидрофосфат натрия, глюкоза, IMUFLEX- WB-RP, Terumo, Бельгия), в качестве добавочного раствора - SAGM (хлорид натрия, аденин, глюкоза, маннитол, IMUFLEX-WB-RP, Terumo, Бельгия). Далее кровь подвергалась лейкофильтрации, после чего облучалась на аппарате «АРДОК-1» (ООО НПП «Велит», Истра, Россия) в дозе 25 Гр. Хранение готовых препаратов крови осуществлялось при температуре 6 ± 2°C. Забор образцов для анализа на проточном цитофлуориметре проводился из проб на 1-е (начало), 14-е (середина) и 28-е (окончание) сутки хранения.
Протокол цитофлуориметрического исследования
Для цитофлуориметрического анализа образцы разводили в 1000 раз буфером Тироде (150 мМ хлорида натрия, 2,7 мМ хлорида калия, 1 мМ хлорида магния, 0,4 мМ дигидрофосфата натрия, 20 мМ HEPES (4-(2-гидроксиэтил)-1-пиперазинэтансуль- фоновая кислота), 5 мМ глюкозы и 0,5% бычьего сывороточного альбумина; pH 7,4). Разведенная кровь инкубировалась с рекомбинантными лактад- херином - mNeonGreen и аннексином V, конъюгированным с флуоресцентной меткой AF647, в присутствии 2 мМ хлорида кальция в течение 15 мин [14]. Рабочие концентрации маркеров фосфати- дилсерина (аннексин V и лактадхерин) составляли в анализируемой пробе 100 нМ. В качестве отрицательного контроля связывания для аннексина V использовалась окрашенная проба в присутствии 2 мМ ЭДТА (динатриевая соль этилендиаминтетрауксусной кислоты, хелатор ионов кальция). После инкубации пробы измеряли на проточном цитофлу- ориметре FACSCanto II (BD Biosciences, США) при средней скорости потока. Общее число событий, собираемых для анализа в пробе, составляло 150 000.
Обработка результатов и статистический анализ
Результаты проточной цитофлуориметрии анализировали с помощью оригинального программного обеспечения FACSDiva (BD Biosciences, США). Для статистического анализа использовалось программное обеспечение Origin 2018b (OriginLab Corporation, США) с применением метода дисперсионного анализа (ANOVA). Для оценки значимости связывания маркеров фосфатидилсерина использовался одновыборочный t-критерий Стьюдента. Отличия считались статистически достоверными при значении p < 0,05.
РЕЗУЛЬТАТЫ ИССЛЕДОВАНИЯ
В ходе работы для 3 временных точек в течение срока хранения эритроцитной взвеси при помощи проточной цитофлуориметрии были оценены 3 параметра:
- процент клеток с измененной формой (по прямому и боковому светорассеянию);
- процент клеток, связывающих лактадхерин;
- процент клеток, связывающих аннексин V (рисунок 1).
Рисунок 1 Проточная цитофлуориметрия эритроцитной взвеси
А - представлены стратегии гейтирования эритроцитов, а также выделения субпопуляции измененной формы (окрашена голубым); Б - в качестве контроля того, что события региона измененной формы являются эритроцитами, приведены результаты окрашивания образца эритроцитной взвеси антителами к гликофорину А (CD235a); В, Г - представлены стратегии выделения лактадхерин- и аннексин V-связывающих клеток соответственно
Figure 1. Flow cytometry analysis of red blood cell suspension
А - the figure presents strategies for gating red blood cells as well as identifying a subpopulation of RBCs with an altered shape (colored blue); Б - the figure provides the results of staining of a sample of RBC suspension with antibodies to glycophorin А (CD235a) as evidence that the events of the region with an altered shape are erythrocytes; В, Г - the figures present strategies for identifying lactadherin binding and Annexin V binding cells, respectively
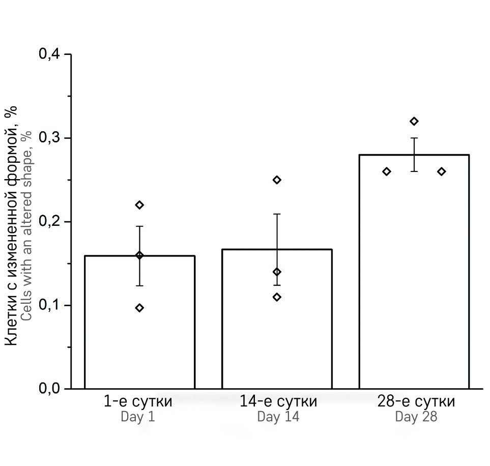
Рисунок 2. Процент клеток с измененными параметрами светорассеяния в образцах эритроцитной взвеси
Продемонстрирована зависимость процента клеток измененной формы от срока хранения эритроцитной взвеси. Данные приведены для 3 образцов в каждой точке хранения. Гистограммы представлены как средние значения ± их стандартные ошибки. Точкамиобозначеныизмеренныеданныедлякаждогообразца
Figure 2. The percentage of cells with altered light scatter parameters in the RBC suspension samples
The dependence of the percentage of cells with an altered shape on the duration of RBC suspension storage is shown. The data are presented for 3 samples at each time point during the storage. The histograms are presented as mean values ± standard errors. The dots represent the measured data for each sample
По данным цитофлуориметрического анализа с течением времени отмечался постепенный прирост субпопуляции клеток с измененными показателями прямого и бокового светорассеяния и клеток, потерявших свою дискоидную форму, вероятно, вследствие хранения (рисунок 2). Изменение формы клетки является одним из признаков протекания процесса программируемой клеточной гибели - эриптоза. При дисперсионном анализе между группами отмечена лишь тенденция к статистически значимому различию (р = 0,08), что, вероятно, объясняется малым размером выборки (п = 3).
При исследовании уровня экспрессии фосфати- дилсерина при помощи лактадхерина и аннексина V видимой динамики изменения процента фосфатидил- серин-положительной субпопуляции эритроцитов не отмечалось вне зависимости от используемого маркера (рисунок 3). Однако результаты специфического связывания аннексина V (после вычитания процента фосфатидилсерин-положительных событий в контрольной пробе) достоверно не детектировались для измерений на 1-е (р = 0,45) и 28-е (р = 0,33) сутки.
ОБСУЖДЕНИЕ РЕЗУЛЬТАТОВ ИССЛЕДОВАНИЯ
Исследование, а возможно, и рутинная характеристика свойств эритроцитной взвеси могут быть использованы в дальнейшем для снижения частоты посттрансфузионных осложнений. Продолжаются исследования возможностей улучшения качества эритроцитной взвеси при помощи манипулирования препаратами крови [15, 16]. Использование проточной цитофлуориметрии для решения этих задач в настоящее время постепенно становится рутиной.
Рисунок 3. Процент фосфатидилсерин-экспрессирующих эритроцитов в эритроцитной взвеси
Продемонстрирована зависимость процента фосфатидилсерин-положительных эритроцитов от длительности хранения эритроцитов при оценке с использованием лактадхерина (А) и аннексина V (Б). Процент фосфатидилсерин-положительных клеток для аннексина V представлен как разность процента в присутствии 2 мМ хлорида кальция и 2 мМ ЭДТА. Статистически значимого изменения с течением времени не отмечалось. Связывание в образцах, отмеченных знаком «*», по данным одновыборочного t-критерия Стьюдента достоверно не отличалось от 0 (р > 0,05). Гистограммы представлены как средние значения ± их стандартные ошибки. Точками обозначены измеренные данные для каждого образца
Figure 3. The percentage of phosphatidylserine-expressing RBCs in the RBC suspension
The figure shows the dependence of the percentage of phosphatidylserine-positive erythrocytes on the duration of erythrocyte storage when assessed using lactadherin (A) and Annexin V (Б). The percentage of phosphatidylserine-positive cells for Annexin V is presented as a difference in the percentage of phosphatidylserine-positive cells for annexin V in the presence of 2 mM calcium chloride and 2 mM EDTA. No statistically significant changes were observed over time. According to the one-sample Student's t-test, binding in the samples marked with "*" was not significantly different from 0 (p > 0.05). The histograms are presented as mean values ± standard errors. The dots represent the measured data for each sample
Представленные в данной работе результаты ставят под сомнение эффективность использования аннексина V для оценки параметров хранимой эритроцитной взвеси. Однако даже использование более чувствительного маркера фосфатидилсерина, лактадхерина, не позволило достоверно выявить накопление потенциально прокоагулянтных эритроцитов по мере хранения эритроцитарной взвеси. Возможно, этот результат обусловлен недостаточным объемом выборки, и он нуждается в дальнейшей проверке. В литературе представлено описание во многом обратных результатов [12], но это расхождение, скорее всего, обусловлено различиями в методике пробо- подготовки.
В то время как использование маркеров фосфатидилсерина не позволило зафиксировать значимые различия во время хранения, оценка морфологии эритроцитов через параметры прямого и бокового светорассеяния выявила постепенное накопление эритроцитов измененной формы, что соотносится с известными литературными данными. Одновременно открывается возможность соотнесения данных проточной цитофлуориметрии с результатами других методов, например эритроцитометрии. Другим направлением развития может стать добавление других известных маркеров повреждения эритроцитов, например CFDA-SE [9].
ЗАКЛЮЧЕНИЕ
В данной работе представлены результаты пилотного исследования цитофлуориметрических параметров эритроцитной взвеси, приведен протокол такой оценки, а также определены перспективы развития данного метода. В ходе сравнительного анализа эффективности применения различных маркеров фосфатидилсерина (аннексин V и лактадхерин) не удалось выявить значимых различий в динамике накопления фосфатидилсерин-экспрессирующих клеток при хранении эритроцитной взвеси. Однако также продемонстрирован отрицательный опыт использования аннексина V для этих целей. В то же время в работе была продемонстрирована возможность применения проточной цитофлуориметрии для детекции эритроцитов с измененной формой, которые могут рассматриваться как вступившие в фазу эриптоза.
ИСТОЧНИК ФИНАНСИРОВАНИЯ
Работа поддержана грантом Российского научного фонда №2525-20101.
КОНФЛИКТ ИНТЕРЕСОВ
Авторы статьи подтвердили отсутствие конфликта интересов, о котором необходимо сообщить.
About the authors
Ivan A. Chabin
Dmitry Rogachev National Medical Research Center of Pediatric Hematology, Oncology and Immunology
Author for correspondence.
Email: ivan.chabin@dgoi.ru
ORCID iD: 0000-0003-0625-1743
Russian Federation, Moscow
Nadezhda A. Podoplelova
Dmitry Rogachev National Medical Research Center of Pediatric Hematology, Oncology and Immunology; Center for Theoretical Problems of Physical and Chemical Pharmacology, Russian Academy of Sciences
Email: no-reply@eco-vector.ru
ORCID iD: 0000-0001-8013-1112
Russian Federation, Moscow; Moscow
Elena O. Artemenko
Dmitry Rogachev National Medical Research Center of Pediatric Hematology, Oncology and Immunology; Center for Theoretical Problems of Physical and Chemical Pharmacology, Russian Academy of Sciences
Email: lartemenko@yandex.ru
ORCID iD: 0000-0002-0193-0723
Russian Federation, Moscow; Moscow
Nikolay N. Starostin
Dmitry Rogachev National Medical Research Center of Pediatric Hematology, Oncology and Immunology
Email: no-reply@eco-vector.ru
ORCID iD: 0000-0002-1219-8654
Russian Federation, Moscow
Pavel E. Trakhtman
Dmitry Rogachev National Medical Research Center of Pediatric Hematology, Oncology and Immunology; Russian Medical Academy of Continuous Professional Education
Email: trakhtman@mail.ru
ORCID iD: 0000-0002-0231-1617
Russian Federation, Moscow; Moscow
Nataliya S. Smetanina
Dmitry Rogachev National Medical Research Center of Pediatric Hematology, Oncology and Immunology
Email: Nataliya.Smetanina@dgoi.ru
ORCID iD: 0000-0003-2756-7325
MD, Dr. Sci. (Medicine), Professor
Russian Federation, MoscowMikhail A. Panteleev
Dmitry Rogachev National Medical Research Center of Pediatric Hematology, Oncology and Immunology; Center for Theoretical Problems of Physical and Chemical Pharmacology, Russian Academy of Sciences; Lomonosov Moscow State University, Moscow
Email: mapanteleev@yandex.ru
ORCID iD: 0000-0002-8128-7757
Corresponding Member of the RAS, Dr. Sci. in Physics and Mathematics, Professor
Russian Federation, Moscow; Moscow; MoscowReferences
- McDavid K., Lien R., Chavez Ortiz J., BradLey T., Luciano A., Griffin I., et aL. Have we reached a new base-Line for bLood coLLection and transfusion in the United States? NationaL BLood CoLLection and UtiLization Survey, 2023. Transfusion 2025. doi: 10.1111/trf.18187
- Free R.J., Sapiano M.R.P., Chavez Ortiz J.L., Stewart P., Berger J., Basavaraju S.V., et aL. Continued stabiLization of bLood coLLections and transfusions in the United States: Findings from the 2021 NationaL BLood CoLLection and UtiLization Survey. Transfusion 2023; 63 (SuppL 4): S8-18.
- Sokou R., Gounari E.A., Tsantes A.G., Piovani D., Bonovas S., Tsantes A.E., Iacovidou N. Bridging the evidence-to-practice gap: Advancing neonataL bLood transfusion. A narrative review of recent guideLines. BLood Rev 2025; 71: 101282.
- Garozzo G., Messina R., Manca P., AquiLina A. Transfusion in hemogLobinopathies and red bLood ceLL aLLoimmunization: data from SiciLy, Sardinia and MaLta. BLood Transfus 2024; 22 (2): 111-21.
- Akselrod B.A., Balashova E.N., Bautin A.E., Bakhovadinov B.B., Biryukova L.S., Bulanov A.Yu., et al. Clinical guidelines for red blood cell transfusion. Gematologiya i transfusiologiya 2018; 63 (4): 372-435. (In Russ.)
- Koch C.G. et al. Duration of red-cell storage and complications after cardiac surgery. N Engl J Med. N Engl J Med, 2008. Vol. 358, № 12. P. 1229¬1239.
- Goel R., Josephson C.D., Patel E.U., Petersen M.R., Makhani S., Frank S.M., et al. Perioperative Transfusions and Venous Thromboembolism. Pediatrics 2020; 145 (4): e20192351.
- Aung H.H., Tung J.-P., Dean M.M., Flower R.L., Pecheniuk N.M. Procoagulant role of microparticles in routine storage of packed red blood cells: potential risk for prothrombotic post-transfusion complications. Pathology 2017; 49 (1): 62-9.
- Peltier S., Marin M., Dzieciatkowska M., Dussiot M., Kalani Roy M., Bruce J., et al. Proteostasis and metabolic dysfunction characterize a subset of storage-induced senescent erythrocytes targeted for posttransfusion clearance. J Clin Invest 2025; 135 (9): e183099.
- Kumukova I.B., Trakht- man P.E., Starostin N.N., Borsakova D.V., Ignatova A.A., Fedotov A.Yu., et al. Comparison of laboratory parameters of X-ray irradiated erythrocyte suspensions and suspensions, prepared from whole blood pre-treated with ultraviolet in the presence of riboflavin. Pediatric Hematology/Oncology and Immunopathology 2018; 17 (1): 64-74. (In Russ.)
- Lang E., Pozdeev V.I., Xu H.C., Shinde P.V., Behnke K., Hamdam J.M., et al. Storage of erythrocytes induces suicidal erythrocyte death. Cell Physiol Biochem 2016; 39 (2): 668-76.
- Lu C., Shi J., Yu H., Hou J., Zhou J. Procoagulant activity of long-term stored red blood cells due to phosphatidylserine exposure. Transfus Med 2011; 21 (3): 150-7.
- Kumukova I.B., Starostin N.N., Levin P.A., Trakhtman P.E., Solopova G.G. Pathogen-reduced red blood cell suspension in pediatric transfusion practice. Russian journal of hematology and transfusiology 2025; 70 (1): 51-61. (In Russ.)
- Koltsova E., Avilova A., Nikolaeva E., Kolchin N., Butov K. Engineered Fluorescent Variants of Lactadherin C2 Domain for Phosphatidylserine Detection in Flow Cytometry. Biomolecules 2025; 15: 673.
- Pulliam K.E., Joseph B., Makley A.T., Caldwell C.C.1, Lentsch A.B., Goodman M.D., Pritts T.A., et al. Washing packed red blood cells decreases red blood cell storage lesion formation. Surgery 2021; 169 (3): 666-70.
- Xia H., Khanal G., Strachan B.C., Voros E., Piety N.Z., Gifford S.C., Shevkoplyas S.S. Washing in hypotonic saline reduces the fraction of irreversibly-damaged cells in stored blood: a proof-of-concept study. Blood Transfus 2017; 15 (5): 463-71.
Supplementary files






